1. Introdução
De acordo com dados da Associação Brasileira das Indústrias Exportadoras de Carnes (ABIEC, 2022), a pecuária de corte movimentou R$913,14 bilhões no Brasil em 2021, sendo responsável por aproximadamente 10,2% do PIB nacional do mesmo ano. Este dado mostra a relevância que este setor tem para a economia brasileira.
A carne é um alimento que favorece o crescimento de microrganismos, pois tem muitas substâncias que contêm nitrogênio, um alto nível de umidade e um pH adequado para a maioria deles (FRANCO; LANDGRAF, 2008). Segundo Kansnowski (2010), a proliferação e desenvolvimento de microrganismos é um dos principais causadores de degradação nos alimentos, tanto processados quanto in natura. Para garantir a sua qualidade, tanto para o consumo interno quanto para a exportação, a carne precisa passar por vários processos. Um dos principais processos é a refrigeração, que ajuda a preservar o produto e evitar o risco de contaminação. Segundo a ASHRAE (2018) o tratamento térmico a baixas temperaturas diminui o ritmo das reações químicas e fisiológicas que acontecem nos alimentos e impede o crescimento e a multiplicação de microrganismos. Assim, fica claro o papel fundamental que os sistemas de refrigeração têm nos frigoríficos e nas indústrias alimentícias em geral, pois eles são uma barreira de segurança que protege os alimentos e assegura a sua qualidade.
Para Stoecker e Jabardo (2002), a refrigeração é o processo de rebaixamento e/ou manutenção da temperatura de um produto ou meio e pode ser obtida através de um método denominado ciclo de refrigeração por compressão mecânica de vapor. Tal método consiste em fazer com que um fluido refrigerante passe por diversos processos e retorne ao seu estado inicial. A refrigeração industrial caracteriza-se pela faixa de temperatura de operação, podendo chegar a temperaturas de até -60°C.
A Figura 1 ilustra, através de um diagrama p-h (pressão-entalpia), um ciclo de refrigeração que utiliza o R-404A como fluido refrigerante, temperatura de condensação de +43°C e temperatura de evaporação de -10°C.

Neste ciclo o calor é removido de um ambiente a baixa temperatura e é rejeitado em um ambiente a alta temperatura, ocorrendo os seguintes processos termodinâmicos: compressão isentrópica do fluido até a pressão de condensação (1-2); redução da temperatura do vapor seguida da condensação do fluido até o estado de líquido saturado a pressão constante (2-3); expansão isentálpica até a pressão de evaporação no dispositivo de expansão (3-4); e evaporação do fluido a pressão constante (4-1).
Para projetar um sistema de refrigeração eficiente, é imprescindível calcular as cargas térmicas, ou seja, a quantidade de calor que deve ser removido de um meio ou substância. Estes cálculos são muito importantes, pois permitem dimensionar corretamente os vários componentes do sistema, como: compressores, condensadores, evaporadores, tubulações, válvulas, controles, vasos de pressão, entre outros.
2. Cargas Térmicas no Sistema de Refrigeração.
Segundo a ASHARE (2018), as fontes de calor que contribuem para a carga térmica total do sistema de refrigeração são:
- Carga térmica de transmissão;
- Carga térmica do produto;
- Cargas térmicas internas, produzida por fontes internas de calor;
- Carga térmica de infiltração;
- Carga térmica relacionada do equipamento de refrigeração.
2.1. Carga Térmica de Transmissão
É a carga térmica que penetra no ambiente refrigerado através das superfícies de suas paredes, pisos e do teto. Este calor é transferido de um ambiente a uma temperatura mais elevada para o ambiente refrigerado e sempre neste sentido.

Essa transferência de calor ocorre por meio da condução e acontece em um nível molecular devido às interações entre as partículas, onde a energia de partículas mais energéticas é transferida para aquelas menos energéticas (BERGMAN et al., 2014).
De acordo com a ASHRAE (2018) o ganho de calor por transmissão pode ser calculado através da equação 2.1:

Onde:
q = Calor ganho, [W];
A = Área da superfície da parede, piso ou teto, [m²];
ΔT = Diferença de temperatura entre o ar externo e o ar do ambiente refrigerado, [K];
U = Coeficiente de transferência de calor, [W/(m².K)];
Normalmente as paredes são constituídas de diversos materiais. O fator U para uma parede composta de mais de um material pode ser obtido através da equação 2.2.

Onde:
k = Condutividade térmica do material, [W/(m.K)];
x = Espessura da parede, [m];
2.2. Carga Térmica do Produto
Todo produto trazido e mantido em um ambiente refrigerado adiciona calor ao recinto, uma vez que a temperatura de entrada deste produto seja superior a temperatura da sala. Este calor adicionado ao ambiente é denominado de carga térmica do produto.

A carga térmica do produto é a parcela de calor que deve ser removida para que ocorra a redução e/ou manutenção da temperatura de produtos e/ou seu congelamento. Ela é composta pela soma de três componentes: (1) redução da temperatura do produto até seu ponto de congelamento; (2) congelamento; (3) redução da temperatura do produto para além do seu ponto de congelamento (STOECKER, 1998). O cálculo de cada uma destas parcelas de calor é dado pelas seguintes equações, respectivamente:

Onde:
c1 = Calor específico do produto antes do congelamento [kJ/(kg.K)];
c2 = Calor específico do produto depois do congelamento [kJ/(kg.K)];
hc = Calor latente de congelamento do produto [kJ/kg];
m = Massa do produto, [kg];
q1 = Parcela de calor removido do produto antes do congelamento, [kJ];
q2 = Parcela de calor removido durante o congelamento o produto, [kJ];
q3 = Parcela de calor removido depois do congelamento do produto, [kJ];
qt = Calor total removido do produto, [kJ];
t1 = Temperatura inicial do produto, [K];
tf = Temperatura de congelamento do produto, [K];
t2 = Temperatura final do produto, abaixo do congelamento [K];
2.3. Cargas Térmicas Internas
De acordo com Costa (1982), é a parcela de calor que vem de fontes internas do ambiente, como: equipamentos mecânicos, motores, iluminação, pessoas trabalhando e outras.
2.3.1. Iluminação
O calor gerado pela iluminação pode ser obtido através da equação 2.7.

Onde:
q = Calor gerado pela iluminação, [kcal/h];
w = Potência de iluminação instalada [W];
Na ausência de dados sobre a potência de iluminação instalada, pode-se calcular o calor gerado pela iluminação por unidade de área. A ASHRAE (2017) apresenta uma tabela com a densidade de potência de iluminação (LPD – Lighting Power Density), que indica o calor por metro quadrado proveniente da iluminação, para diferentes tipos de ambientes.

2.3.2. Pessoas

A quantidade de calor que as pessoas cedem ao ambiente depende de alguns fatores, tais como a temperatura da sala, tipo de trabalho executado, tamanho da pessoa e tipo de roupa utilizado (ASHRAE, 2018). O calor total liberado pelas pessoas (qp) é dado pelos números de pessoas trabalhando no ambiente (n) multiplicado pelo calor (q) liberado por pessoa e o tempo de permanência no ambiente (t), conforme expressa a equação 2.8 (COSTA, 1982).

A tabela 2 apresenta os valores médios de calor liberado por pessoa, o qual varia conforme a temperatura do ambiente.

2.3.3. Equipamentos Elétricos
De acordo com Melo (2018), todo equipamento elétrico que opera dentro de um ambiente climatizado emite e adiciona calor ao recinto. Esta parcela de calor cedida deve ser considera no cálculo de carga térmica e pode ser estimada através da equação 2.9.

Onde:
qe = Carga térmica gerada pelos equipamentos, [W];
pd= Potência dissipada pelos equipamentos, [W];
n = Número de equipamentos;
t = Tempo de utilização do equipamento no dia, [h];
2.3.4. Ar de Infiltração
É o calor ganho devido a massa de ar que entra no ambiente refrigerado através de suas portas e frestas, conforme mostrado na Figura 3. A infiltração ocorre, principalmente, pela diferença de densidade entre o ar no interior da câmara fria e o ar nos ambientes adjacentes.

Para Elsayed (1998), a carga térmica proveniente do ar de infiltração, Q, pode ser determinada conhecendo-se a massa de ar que entra na câmara fria e a diferença de entalpia entre o ar no interior da câmara refrigerada e o ar externo a sala, conforme demonstra a equação 2.10.

O valor de minf é influenciado por diversos fatores, como: tempo em que as portas são mantidas abertas (Dt); o fator de fluxo da porta (Df); o fator de eficácia (E ) da barreira de contenção da porta, caso possua; e o fluxo, em estado estacionário, de ar infiltrado para uma porta aberta permanentemente (mss). Esta relação é expressa pela seguinte equação (ELSAYED, 1988):

O fator de fluxo (Df) recomendado para portas de operação cíclica com diferenciais de temperatura inferiores a 11 °C é 1,1. Já o fator de fluxo recomendado para diferenciais de temperatura mais elevados é 0,8 (ASHRAE, 2018).
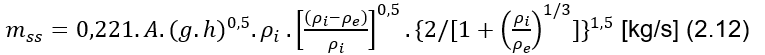
Elsayed (1998), comenta em seu artigo que o método mais reconhecido e também recomendado pela ASHRAE para estimar mss é a correlação de Gosne e Olama, onde:

mss = Fluxo, em estado estacionário, de ar infiltrado para uma porta aberta permanentemente [kg/s];
A = Área da porta ou abertura de passagem de ar, [m²];
g = Aceleração da gravidade, [9,81 m/s²];
h = Altura da porta ou abertura da passagem de ar, [m];
pi = Densidade do ar interno, [kg/m³];
pe = Densidade do ar externo, ar de infiltração, [kg/m³]
Como visto acima, estimar a taxa de ar de infiltração exige que se tenha à disposição diversas informações a respeito do ambiente refrigerado, das condições do ar de dentro e de fora da câmara e do tempo de abertura de portas. Essas informações nem sempre estão disponíveis para o projetista do sistema de refrigeração. Uma solução para estimar o volume de ar de infiltração é proposta por Costa (1982), ele fornece um índice de renovação diária de ar, o qual varia conforme o volume da câmara.

2.3.5. Equipamento de Refrigeração

Calcular o calor gerado pelos motores dos evaporadores nos exige um dimensionamento prévio deste equipamento, uma vez que o cálculo da carga térmica de refrigeração é o ponto de partida para o seu dimensionamento. Costa (1982), orienta-nos a adotar uma potência de 0,5 a 1,0 CV por tonelada de refrigeração (T.R). Assim, pode-se utilizar o valor aproximado da carga térmica total de refrigeração para estimar a potência dos evaporadores.
Com as potências dos equipamentos estimadas calcula-se através da equação 2.13 a carga térmica devido aos equipamentos de refrigeração.

Onde:
CV = Potência instalada em motores ou resistências elétricas, [CV];
FS = Fator de segurança adotado na seleção dos motores, [1,2];
632 = Fator de conversão de CV para kcal/h;
3. Fator de Segurança
Para evitar possíveis diferenças entre os critérios de projeto e a operação real, a ASHRAE sugere que se aplique um fator de segurança de 10% ou mais sobre a carga térmica total calculada
4. Conclusão
Para manter um ambiente refrigerado, é preciso saber o quanto de calor entra ou sai dele. Esse calor pode ser agregado através de diversas fontes, como as paredes, do produto que precisa resfriado, as pessoas e equipamentos que estão dentro do ambiente, do ar que entra através das portas e frestas e do próprio equipamento responsável pelo resfriamento do ambiente. Cada uma dessas fontes tem um valor de calor que é denominado de carga térmica. Ao somar todas as carga térmicas, podemos saber o quanto de calor o sistema de refrigeração precisa retirar do ambiente. Calcular cada uma dessas parcelas de calor é um processo que possui um certo grau de imprecisão, pois dependem de muitos dados e informações que nem sempre estão disponíveis, portanto, o conhecimento teórico junto com a experiência e o conhecimento prático é essencial para projetar um sistema de refrigeração eficiente.
A Kalter Refrigeração Industrial é a sua parceira ideal para qualquer projeto que envolva refrigeração. Nós temos experiência em vários setores da indústria, como: Frigoríficos (aves, bovinos, suínos e pescados), Laticínios, Bebidas, Frutas e Legumes, Energia, Ventilação, Farmacêutica, dentre outros.
Nossa equipe é formada por profissionais capacitados e comprometidos em oferecer soluções personalizadas para cada cliente, sempre buscando o melhor custo-benefício.
Não importa o tamanho ou o segmento da sua indústria, a Kalter Refrigeração Industrial tem a solução que você precisa.
Você quer saber mais sobre a Kalter Refrigerção Industrial? Então visite o nosso site kalter.com.br ou entre em contato com um de nossos especialistas através do email comercial02@kalter.com.br ou do telefone (47)3437-1396.
Siga a Kalter no Instagram e no LinkedIn e fique por dentro das novidades.

Referências:
- ABIEC – ASSOCIAÇÃO BRASILEIRA DAS INDÚSTRIAS EXPORTADORAS DE CARNES. Beef Report: Perfil da pecuária no Brasil 2021. Disponível em: https://abiec.com.br/publicacoes/beef-report-2022/.
- ASHRAE – American Society of Heating, Refrigerating and Air-Conditioning Engineers. ASHRAE Handbook – Fundamentals 2017, Atlanta, 2017.
- ASHRAE – American Society of Heating, Refrigerating and Air-Conditioning Engineers. ASHRAE Handbook – Refrigeration 2018, Atlanta, 2018.
- BERGMAN, T.L., LAVINE, A.S., INCROPERA, F.P., DEWITT, D.P. Fundamentos de Transferência de Calor e Massa. 7 ed., Rio de Janeiro, LTC, 2014.
- COSTA, E.C. Refrigeração. 3 ed., São Paulo, Blucher, 1982.
- DANFOSS. Coolselector 2. Versão 4.5.2 [S.I]: Danfoss, 2021. Disponível em: https://www.danfoss.com/pt-br/service-and-support/downloads/dcs/coolselector-2/#tab-overview.
- ELSAYED, M.M, Infiltration Load in Cold Rooms. Hvac&R Research. 4(2), 179-202, 1998.
- FRANCO, B.D.G.M, LANDGRAF, M. Microbiologia dos Alimentos. 2 ed., Atheneu, 2008.
- KASNOWSKI, M.C., MANTILLA, S.P.S., OLIVEIRA, L.A.T., FRANCO,R.M. Formação de biofilme na indústria de alimentos e métodos de validação de superfícies. Revista Científica Eletrônica de Medicina Veterinária. 15(8), 1-23, 2010. Disponível em: http://faef.revista.inf.br/imagens_arquivos/arquivos_destaque/XlhXh4g7fM NUHWC_2013-6-25-15-32-54.pdf.
- NASCIMENTO, H. IBGE revisa PIB de 2021 de 4,6% para 5%. Poder 360. 01 de dez. 2022. Disponível em: https://www.poder360.com.br/governo/ibge-revisa-pib-de-2021-de-46-para-5/
- STOECKER, W.F. Industrial Refrigeration Handbook. McGraw-Hill, 1998.
- STOECKER, W.F., JABARDO, J.M.S. Refrigeração Industrial. 2 ed., São Paulo, Blucher, 2002.
Sobre o autor:
Engenheiro mecânico (CREA 2001408), formado pela Universidade da Região de Joinville – Univille. Há 9 anos trabalha no ramo de refrigeração industrial, tendo experiência em projetos e atualmente desempenhando a função de analista de negócios na Kalter Refrigeração Industrial.

